Book a Demo
Prev Next

Relationship Connectors

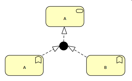
A junction is used in a number of situations to connect relationships of the same type. A path with junctions that connect relationships of this type is only allowed between two concepts, if a direct relationship of that type between these concepts is also permitted. Simply put, you cannot use junctions to create relationships between concepts that would otherwise not be allowed.

Connectors

Junction (AND)

A junction is used to connect relationships of the same type to indicate that all connectors on the multiple side(s) of the junction will be invoked.

Junction (OR)

A junction is used to connect relationships of the same type to indicate that one (and only one) connector on the multiple side(s) of the junction will be invoked.