Please note : This help page is not for the latest version of Enterprise Architect. The latest help can be found here.
Contents |
| Prev | Next |
Decision

Description
A Decision is an element of an Activity diagram or Interaction Overview diagram that indicates a point of conditional progression: if a condition is True, then processing continues one way; if not, then another.
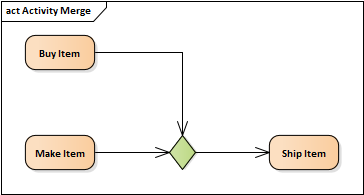
This can also be used as a Merge node in that multiple alternative flows can be merged (but not synchronized) to form one flow. These examples show both of these modes of using the decision element.
Used as a decision:

See UML Superstructure Specification, v2.1.1, figure 12.77, p. 363.
Used as a merge:

See UML Superstructure Specification, v2.1.1, figure 12.106, p. 388.
Notes
However, Decision elements are used only within one diagram, have no meaning outside that diagram, and are never re-used in any other diagram; therefore, if you move a diagram containing these elements, they are moved to the new parent Package with the diagram
Toolbox icon

Learn more
OMG UML Specification:
The OMG UML specification (UML Superstructure Specification, v2.1.1, p.361 (Decision symbol)) states:
A decision node is a control node that chooses between outgoing flows. A decision node has one incoming edge and multiple outgoing activity edges.
The OMG UML specification (UML Superstructure Specification, v2.1.1, p.387 (Merge symbol)) also states:
A merge node is a control node that brings together multiple alternate flows. It is not used to synchronize concurrent flows but to accept one among several alternate flows ... A merge node has multiple incoming edges and a single outgoing edge.